We consider an Entry Game, a sequential game played between a potential Entrant and an Incumbent
A sequence of play: Entrant moves first, Incumbent moves second
Note: the magnitude of the payoffs don't really matter, only their relative sizes

This game is depicted in “Extensive form” or a game tree
Each player faces at least one “decision node” (solid, colored by player)

We need to talk more about strategies
“Pure” strategy: a player's complete plan of action for every possible contingency
If we reach node 1, then I will play X; if we reach node 2, then I will play Y; if ...

Entrant has 2 pure strategies:
Incumbent has 2 pure strategies:
Note Incumbent's strategy only comes into play if Entrant plays Enter and the game reaches node I.1

Backward induction: to determine the outcome of the game, start with the last-mover (i.e. decision nodes just before terminal nodes) and work to the beginning
A process of considering “sequential rationality”:
“If I play X, my opponent will respond with Y; given their response, do I really want to play X?”



Incumbent will Accommodate if game reaches I.1
Given this, what will Entrant do at E.1?

Entrant will Enter at E.1
Continue until we've reached the initial node (beginning)
We have the outcome:
(Enter, Accommodate)

Any game in extensive form can also be depicted in “normal” or “strategic” form (a payoff matrix)
Note, if Entrant plays Stay Out, doesn't matter what Incumbent plays, payoffs are the same
Solve this for Nash Equilibria...

But remember, we ignored the sequential nature of this game in normal form
New solution concept: subgame perfect Nash equilibrium (SPNE)

Subgame: any portion of a full game beginning at one node and continuing until all terminal nodes
Every full game is itself a subgame
How many subgames does this game have?


Consider each subgame as a game itself and ignore the “history” of play that got a to that subgame
Consider a set of strategies that is optimal for all players in every subgame it reaches
That is a subgame perfect Nash equilibrium



Consider the second set of strategies, where Incumbent chooses to Fight at node I.1
What if for some reason, Incumbent is playing this strategy, and Entrant unexpectedly plays Enter?


It's not rational for Incumbent to play Fight if the game reaches I.1!
Incumbent playing Fight at I.1 is not a Nash Equilibrium in this subgame!
Thus, Nash Equilibrium (Stay Out, Fight) is not sequentially rational


Only (Enter, Accommodate) is a Subgame Perfect Nash Equilibrium (SPNE)
These strategy profiles for each player constitute a Nash equilibrium in every possible subgame!
Simple connection: rollback equilibrium is always SPNE!


“if you Enter, I will Fight!”
This threat is not credible because playing Fight in response to Enter is not rational!
The strategy is not Subgame Perfect!


What can be privately owned?
What can (and can't) an owner do with her property?
How are property rights established?
What remedies are available when property rights are violated?



Ideas have a public good aspect to them
Possessors of ideas are unable to appropriate value from selling ideas

Thomas Jefferson
(1743-1826)
"He who receives an idea from me, receives instruction himself without lessening mine; as he who lights his taper at mine, receives light without darkening me. That ideas should freely spread from one to another over the globe, for the moral and mutual instruction of man, and improvement of his condition, seems to have been peculiarly and benevolently designed by nature, when she made them, like fire, expansible over all space, without lessening their density in any point, and like the air in which we breathe, move, and have our physical being, incapable of confinement or exclusive appropriation."
Jefferson, Thomas, 13 Aug 1813, "Letter to Isaac MacPherson,"




William Nordhaus
(1941-)
Economics Nobel 2018
"We conclude that [about 2.2%] of the social returns from technological advances over the 1948-2001 period was captured by producers, indicating that most of the benefits of technological change are passed on to consumers rather than captured by producers," (p.1)
Nordhaus, William, 2004, "Schumpeterian Profits in the American Economy: Theory and Measurement," NBER Working Paper 10433
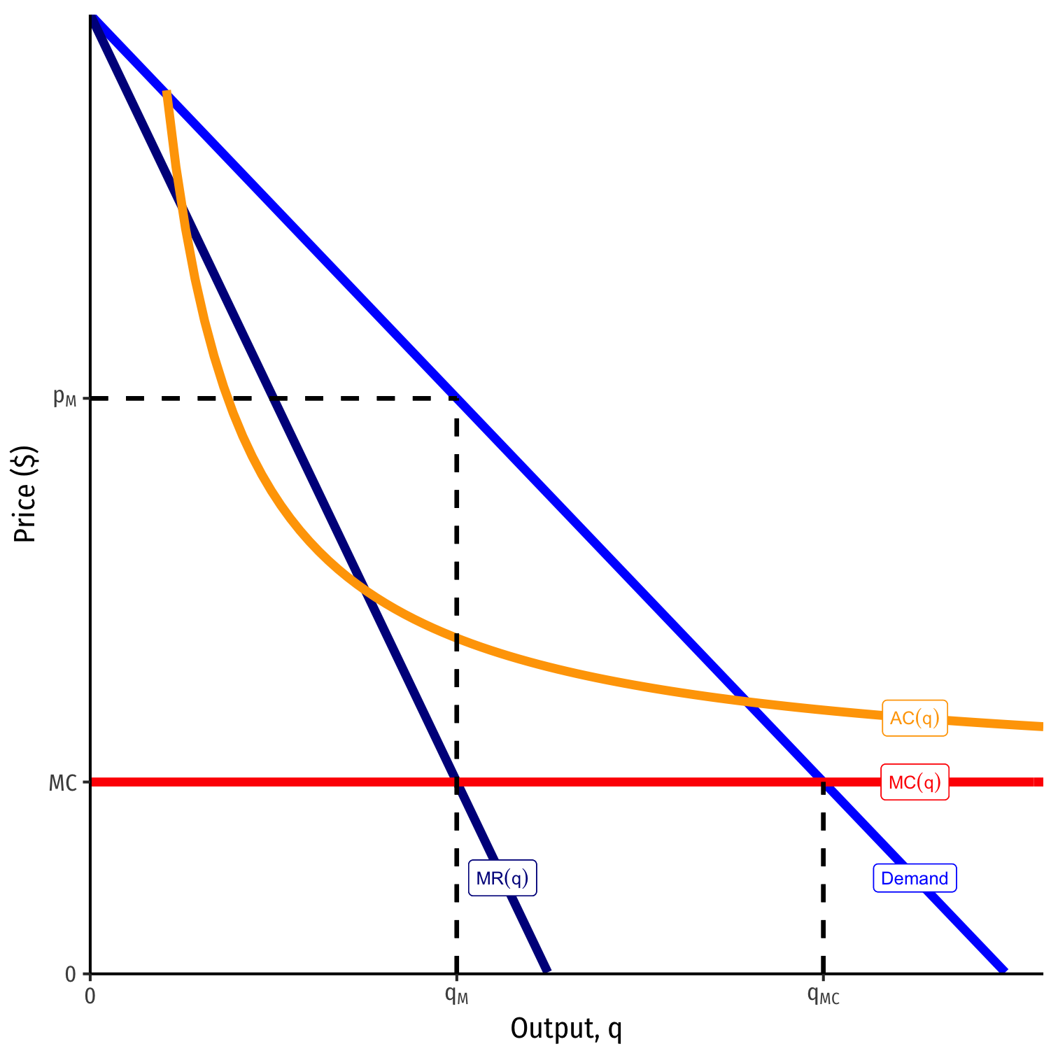
Information is very costly to generate, very easy to disseminate/imitate
High fixed costs \(f\), constant low/zero marginal costs \(c\)
$$AC(q)=\frac{f}{q}+c$$

Information is very costly to generate, very easy to disseminate/imitate
High fixed costs \(f\), constant low/zero marginal costs \(c\)
$$AC(q)=\frac{f}{q}+c$$

If left to own devices, acts like a monopoly
Creates inefficiency

But now consider a second firm, with same \(MC(q)=c\) but no fixed costs \(f\)!
If by itself, could maximize profits at \(p_m\)

Example: Suppose a company discovers a new drug.
Fixed costs of $1,000 for R&D
Monopoly profits of $2,500
Second firm can imitate for free, duopoly profits would be $450 each

Example: Suppose a company discovers a new drug.
Fixed costs of $1,000 for R&D
Monopoly profits of $2,500
Second firm can imitate for free, duopoly profits would be $450 each
A sequential game where Innovator goes first

Example: Suppose a company discovers a new drug.
SPNE: {Don't, Imitate}
Note: Copycat could promise not to Imitate, but it would not be a credible promise!

Example: Suppose a company discovers a new drug.

Example: Suppose a company discovers a new drug.
Suppose instead, Innovator can obtain a patent and sue Copycat (whether for damages or injunction) for infringement
If P>450, Copycat chooses Don't
SPNE becomes {Innovate, Don't}

But now we're back to the outcome where the Innovator becomes a monopoly!
We’re trading off one inefficiency for another


“The Congress shall have Power...To promote the Progress of Science and useful Arts, by securing for limited Times to Authors and Inventors the exclusive Right to their respective Writings and Discoveries.”
United States Constitution, Article I, § 8, Clause 8
Intellectual property (IP): ways that individual/s (or firm) can claim ownership of information
Patents over products, commercial processes
Copyrights over expressions
Trademarks over brand names, logos
Trade secrets


“the right to exclude others from making, using, offering for sale, or selling the invention throughout the U.S. or importing the invention into the U.S”

Apply to government Patent and Trademark Office (PTO)
For application to be approved, invention must be:

Patent requires detailed instructions and figures for how to produce the product
Upon expiration, invention enters the public domain, where all at liberty to use
Cannot patent “laws of nature, natural phenomena, and abstract ideas”

Patents are property rights
Use/sale of product without consent of patent-holder constitutes infringement

“Letters Patent” by English Crown (esp. 17th C.—18th C.)
1623 Statute of Monopolies
Patent Act of 1790 (U.S.)





Example: Consider two similar, but distinct inventions

Example: Consider two similar, but distinct inventions

Example: Consider two similar, but distinct inventions

If patent breadth is narrow, each be able to patent our own invention, regardless of who invented first
If patent breadth is narrow, first filer will be able to block the second producer
Individuals have been allowed to patent a wide variety of things, often extremely broad and vague
“Weak” patents: many of these would not hold up in court
Makes Coasian bargaining too difficult
Unclear who owns property rights (what is the valid breadth of a vague patent?)
Raises transaction costs of production
Patent pools: multiple firms with their own patents reach an agreement to cross-license their patents
Reduces transaction costs...if you're in the patent pool

Submarine patent: individual takes out a patent on something extremely broad, doesn’t enforce it for many years (“stays under the surface”), until a producer comes along (thinking the idea is not patented)
Non-practicing entity (NPE) aka Patent troll: buys up patents not with intention to produce anything, but only to sue individuals and firms for infringement




Marginal Revolution (September 19, 2012): “Patent Policy on the Back of a Napkin”

“the exclusive rights to reproduce the [work]...to prepare derivative works...to distribute to the public by sale or other transfer of ownership, or by rental, lease, or lending,...to perform,...to display publicly”

“in original works of authorship fixed in any tangible medium of expression, now known or later developed”

“a term consisting of the life of the author and 70 years after the author’s death.”

Copyrights are property rights
Use/sale of product without consent of copyright-holder constitutes infringement

Idea-expression dichotomy: copyright scope is limited to the particular expressions, not to the ideas themselves
e.g. for an adventure novel/movie


“for purposes such as criticism, comment, news reporting, teaching (including multiple copies for classroom use), scholarship, or research”

Stationers' Company since 1557 — London publishers guild & censorship
English Civil Wars (1630s—1660s)
1710 Statute of Anne creates statutory copyright


Copyright Act of 1790 creates federal copyright in U.S.
Almost verbatim 1710 Statute of Anne

1790—1891 U.S. did not recognize copyrights to foreign authors
U.S. publishing industry largely pirated famous British authors
My paper “Honor Among Thieves”

Copyright-holders have rights over derivative works
But most media (books, music, films) need to borrow from originals!



Copyright Term Extension Act (CTEA) of 1998 aka the “Sonny Bono Act” extended copyright from author’s life + 50 years to (current) author’s life + 70 years
More controversially, it retroactively extended this duration to works about to expire in 1998

2003 Eldred v. Ashcroft
Amicus brief by 17 top economists (5 Nobel prize winners, including Coase!) agreed
U.S. Supreme Court (7-2) upheld law


Works from 1925 that entered the public domain in 2021, Center for the Study of Public Domain
Orphan works: many works are out of print, but still technically copyrighted, nobody knows who the owner is (and too afraid to publish)
Music, movies, and books produced in 1923-1946 (first 23 years affected by Sunny Bono Act), <6% available today

No Electronic Theft (NET) Act (1997): infringing copyright even if for purposes other than commercial resale is illegal
Digital Millennium Copyright Act (DMCA) (1998):

Trade secrets, trademarks are longstanding concepts in common law
Patent & copyright are entirely statutory creations, not common law
Is copying the same thing as theft?

Moral/deontological arguments
IPR are natural rights
Extension of Lockean self-ownership and “mixing your labor” with nature
Should be entitled to profit off of your own ideas

Utilitarian tradeoff between incentives and access
Purpose is not to enrich authors or inventors, but to “promote the Progress of Science and the useful Arts”


Thomas Macaulay
(1800-1859)
"It is then on men whose profession is literature, and whose private means are not ample, that you must rely for a supply of valuable books. Such men must be remunerated for their literary labour...It is desirable that we should have a supply of good books; we cannot have such a supply unless men of letters are liberally remunerated, and the least objectionable way of remunerating them is by means of copyright...The system of copyright has great advantages, and great disadvantages...Copyright is monopoly, and produces all the effects which the general voice of mankind attributes to monopoly...Monopoly is an evil...For the sake of the good we must submit to the evil; but the evil ought not to last a day longer than is necessary for the purpose of securing the good..."
Natural rights arguments — IP violates natural rights
Unlike real property, ideas are not scarce
Restricts what private persons are able to do with their property
Nobody has a right to guaranteed profits

Utilitarian arguments — IP doesn’t boost innovation much, and may actively reduce it
IP is mostly rent-seeking
Innovation & creation occurs despite or without IP

Many valuable things exist but are not patentable or copyrightable
Many valuable things exist (for-profit & non-profit) but don’t rely on patents or copyright

Reasons other than IP that innovators and artists produce
Not-maximizing profits
Profit-maximizing alternatives to IP

Trade secrets
Prizes
Government R&D subsidies
Crowdfunding?
Patent buyouts (Kremer)

A trademark or tradename grants protection for a word, phrase, symbol, or design which identifies a particular seller of goods or services, distinct from other sellers
Prohibits sellers from using marks that are “confusingly similar” to protected marks, this constitutes infringement
Trademarks last indefinitely, so long as the mark is being used in commerce


Allows companies to securely invest in reputation and quality
If others could use same markings, consumers can't tell the difference between sellers, lose incentive to invest in high quality goods

Can't trademark generic names (“camera”, “app”)
Sometimes the reverse happens: a brand name becomes so dominant, people refer to a whole product category by it

Unregistered trademarksTM or service marksSM
Registered trademarks®


“But the signature offering at his Al Johnson's Swedish Restaurant isn't on the menu; it's the goats grazing on the grass-covered roof...Some patrons drive from afar to eat at the restaurant and see the goats that have been going up on Al Johnson's roof since 1973. The restaurant 14 years ago trademarked the right to put goats on a roof to attract customers to a business. ”
“Last year, he discovered that Tiger Mountain Market in Rabun County, Ga., had been grazing goats on its grass roof since 2007. Putting goats on the roof wasn't illegal. The violation, Al Johnson's alleged in a lawsuit in the U.S. District Court for the Northern District of Georgia, was that Tiger Mountain used the animals to woo business...Tiger Mountain Market opened a grocery store and gift shop in buildings with grass on the roofs and allows goats to climb on the roofs of its buildings...Al Johnson's "demanded that Defendant cease and desist such conduct, but Defendant has willfully continued to offer food services from buildings with goats on the roof," the suit continued.”
Source: WSJ Sept 17, 2010






Can sue for “dilution of the distinctive quality of a mark or trade name” even in “absence of competition between the parties or the absence of confusion as to the source of goods or services.”
Less clear economic argument



“Trademarking nicknames and phrases is not new. Pat Riley obtained a trademark for the term “three-peat” in 1989, when he coached the Los Angeles Lakers. But lawyers who handle intellectual property rights say the practice has accelerated in recent years as athletes and sports figures seek to extend their brands into the entertainment world.”


Wikipedia: Washington Redskins name controversy; Matal v. Tam (2017)



Unlike normal property rights, possessor of trade secrets must continually make efforts to keep them secret!
If they leave their “secrets” lying around, they lose claim to them

Strategic choice by firms/inventors to use trade secrets vs. patents
Tradeoff of indefinite secrecy vs. guaranteed temporary monopoly

Non-disclosure agreements
NDAs tend to be very difficult to enforce

Keyboard shortcuts
| ↑, ←, Pg Up, k | Go to previous slide |
| ↓, →, Pg Dn, Space, j | Go to next slide |
| Home | Go to first slide |
| End | Go to last slide |
| Number + Return | Go to specific slide |
| b / m / f | Toggle blackout / mirrored / fullscreen mode |
| c | Clone slideshow |
| p | Toggle presenter mode |
| t | Restart the presentation timer |
| ?, h | Toggle this help |
| Esc | Back to slideshow |